Come calcolare gli interessi di un prestito o mutuo: formula pratica, esempi e criteri di valutazione
In un contesto economico caratterizzato dal ritorno dell’inflazione e da tassi di interesse in costante evoluzione, comprendere come si calcolano gli interessi di un prestito o di un mutuo è diventato un esercizio di consapevolezza finanziaria. Dietro ogni rata mensile si cela una struttura precisa, fatta di numeri e logiche matematiche, che definisce il costo reale del denaro nel tempo. Non si tratta solo di comprendere una formula, ma di saper leggere le dinamiche che regolano il credito e di interpretare con lucidità ciò che un contratto di finanziamento realmente comporta. La trasparenza in questo ambito è oggi un elemento di educazione economica tanto quanto una tutela personale.
L’importanza di comprendere gli interessi nel credito al consumo e nei mutui
Gli interessi rappresentano il prezzo del denaro, ossia il compenso riconosciuto a chi lo presta per il tempo durante il quale il capitale viene utilizzato. Nei mutui e nei finanziamenti, la modalità della formula per il calcolo degli interessi influisce direttamente sulla sostenibilità della rata e sul costo totale dell’operazione.
Un cittadino capace di leggere un piano di ammortamento o di verificare la correttezza di un calcolo non possiede soltanto una competenza tecnica: dispone di uno strumento di difesa economica. Distinguere tra i diversi regimi di calcolo — interesse semplice, composto e ammortamento alla francese — consente di valutare con maggiore oggettività ogni proposta bancaria.
L’interesse semplice: la formula più immediata
Nel regime dell’interesse semplice, gli interessi non vengono capitalizzati: non producono cioè altri interessi su se stessi. È un metodo lineare, spesso utilizzato per operazioni di breve durata o a tasso fisso.
La formula è:
![]()
dove:
- I = interessi maturati
- C = capitale prestato
- r = tasso di interesse annuo (in forma decimale)
- t = tempo espresso in anni
Esempio pratico:
Un prestito di 10.000 euro al 5% annuo per tre anni genera interessi pari a:
![]()
Totale da rimborsare: 11.500 euro.
Questo metodo è trasparente e facilmente verificabile, ma non tiene conto dell’effetto della capitalizzazione, che è invece centrale nei piani di rimborso a lungo termine.
L’interesse composto: la forza della capitalizzazione
Nel regime dell’interesse composto, gli interessi maturati si sommano al capitale e diventano essi stessi produttivi di ulteriori interessi. È il principio della capitalizzazione, alla base della crescita esponenziale sia dei debiti che degli investimenti.
La formula è:
![]()
dove:
- M = montante finale (capitale + interessi)
- C = capitale iniziale
- r = tasso di interesse annuo
- t = durata in anni
Esempio:
Con un capitale di 10.000 euro e un tasso del 5% annuo per tre anni:
![]()
Gli interessi complessivi ammontano a 1.576,25 euro.
Una differenza apparentemente minima rispetto all’interesse semplice, ma che su orizzonti temporali lunghi può trasformarsi in migliaia di euro.
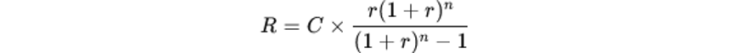
Il metodo di ammortamento “alla francese”: la logica della rata costante
Nel sistema bancario italiano, la quasi totalità dei mutui segue il piano di ammortamento alla francese, caratterizzato da rate costanti ma da una composizione variabile nel tempo: inizialmente prevale la quota di interessi, che progressivamente lascia spazio alla quota di capitale.
La formula è:

dove:
- R = rata periodica
- C = capitale finanziato
- r = tasso di interesse periodale (annuo diviso 12 per rate mensili)
- n = numero complessivo di rate
Esempio:
Mutuo da 200.000 euro, tasso annuo 3%, durata 20 anni (240 rate).
Il tasso periodale è 0,0025.
La rata mensile risulta di circa 1.109,20 euro.
Totale restituito: 266.206,85 euro, con 66.206,85 euro di interessi.
Un tasso apparentemente modesto, ma che nel tempo incide in modo significativo sul costo complessivo del mutuo.
TAN, TAEG e spread: cosa cambia davvero
Nel linguaggio bancario, alcuni termini vengono spesso confusi, ma indicano realtà diverse:
- TAN (Tasso Annuo Nominale): è il tasso di interesse puro applicato al capitale, escluso ogni costo accessorio.
- Spread: è la maggiorazione che la banca aggiunge al tasso di riferimento (Euribor o BCE).
- TAEG (Tasso Annuo Effettivo Globale): è l’indicatore più completo, che include anche spese di istruttoria, assicurazioni, incasso rata e perizia.
Il TAEG è lo strumento più utile per confrontare le offerte: esprime in percentuale il costo reale del finanziamento e rende immediatamente visibile la convenienza di una proposta rispetto a un’altra.
I principali fattori che incidono sul costo degli interessi
Il costo di un prestito o mutuo non dipende solo dal tasso applicato. A influire sono variabili come:
- Durata del finanziamento – a parità di tasso, più lunga è la durata, maggiori saranno gli interessi totali.
- Tipo di tasso – fisso o variabile, con implicazioni diverse sulla prevedibilità delle rate.
- Frequenza di capitalizzazione – mensile, trimestrale o annuale: più è frequente, maggiore sarà il montante finale.
- Oneri accessori e commissioni – anche spese minori incidono sul TAEG e sul costo effettivo.
Una valutazione corretta non può quindi limitarsi alla formula di calcolo, ma deve considerare la struttura economica complessiva del contratto.
Come leggere e verificare un contratto di mutuo
Prima di firmare un contratto di finanziamento, è essenziale controllare con attenzione:
- il tipo di tasso e il relativo indice di riferimento;
- lo spread applicato;
- il valore del TAEG;
- il piano di ammortamento e le condizioni di estinzione anticipata;
- eventuali assicurazioni obbligatorie o facoltative.
Analizzare questi elementi consente di evitare clausole poco chiare e di comprendere la reale sostenibilità dell’impegno economico.
Strategie per ridurre il peso degli interessi
Alcune scelte strategiche possono contribuire a limitare l’impatto degli interessi nel tempo:
- Ridurre la durata del mutuo, anche di pochi anni, comporta un risparmio significativo.
- Estinguere anticipatamente il debito, quando possibile, riduce gli interessi futuri.
- Rinegoziare o surrogare il mutuo verso istituti con tassi più favorevoli.
- Monitorare periodicamente il TAEG del mercato per mantenere condizioni competitive.
Una gestione attiva e consapevole del debito può tradursi in un risparmio complessivo di migliaia di euro.
Oltre i numeri: l’educazione finanziaria come tutela
Il calcolo degli interessi non è solo una questione di formule, ma di consapevolezza economica. Dietro ogni percentuale si nasconde una scelta che incide sulla libertà finanziaria di lungo periodo.
Conoscere la differenza tra interesse semplice e composto, comprendere il funzionamento dell’ammortamento alla francese e saper interpretare correttamente TAN, TAEG e spread significa non solo leggere un contratto, ma comprenderne le conseguenze nel tempo.
Una solida cultura finanziaria non si misura soltanto nella capacità di risparmiare, ma nella consapevolezza del costo reale del denaro. E in un’epoca in cui il credito è parte integrante della vita quotidiana, saper calcolare e interpretare gli interessi equivale a saper pianificare con responsabilità il proprio futuro economico.






VIDEO INTERVISTE
REAL ESTATE
LMF crypto
LMF food
LMF private markets
LMF arte
Legal
LMF green